Table of Contents
TogglePasso a passo simples para consolidar as horas dos colaboradores com segurança e agilidade.
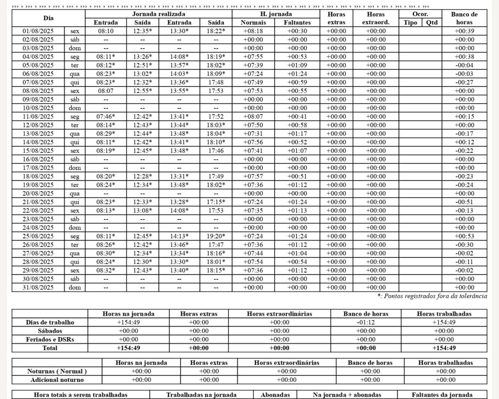
O fechamento de folha é uma das etapas mais importantes da gestão de ponto. É através dele que as horas trabalhadas, extras, faltas e ajustes são consolidados para envio ao departamento pessoal.
Veja abaixo como gerar seu fechamento de forma prática:
Dica: Antes de gerar o fechamento, verifique se todos os pontos estão sincronizados e ajustes foram aprovados. Isso evita inconsistências e garante um fechamento preciso.
1. Acesse o menu “Gerencial”
No painel principal do sistema, localize o menu lateral e clique em Gerencial.

2. Selecione “Fechamento de Folha”
Essa opção abrirá a tela onde você poderá visualizar e criar novos fechamentos.

3. Clique em “Novo Fechamento”
Um novo formulário será exibido para que você defina os detalhes do período.

4.Insira o nome do fechamento
Use um nome que facilite a identificação, por exemplo: “Folha Setembro 2025”.

5. Defina o período da folha
Data inicial: selecione o primeiro dia do período.
Data final: selecione o último dia do período.


6. Selecione os colaboradores
Marque todos os funcionários que farão parte desse fechamento.
Você pode selecionar todos de uma vez ou escolher individualmente os colaboradores desejados.

7. Clique em “Gerar Fechamento”
O sistema processará as informações automaticamente. Aguarde alguns segundos até a conclusão.

8. Finalize o envio ou exportação
Clique em “Enviar folhas” para que os colaboradores recebam o espelho de ponto diretamente no aplicativo.
Cada colaborador poderá assinar digitalmente o documento, com validade legal perante a legislação trabalhista.
Ou selecione “Exportar PDF” para salvar, imprimir ou encaminhar o arquivo manualmente, permitindo também a assinatura física, caso desejado.

Pronto!
Seu fechamento de folha foi gerado com sucesso.
Agora é só enviar aos colaboradores e seguir com o processo de pagamento com tranquilidade.



