
Configurações do Sistema
Como gerar o fechamento de folha no ePonto Eletrônico
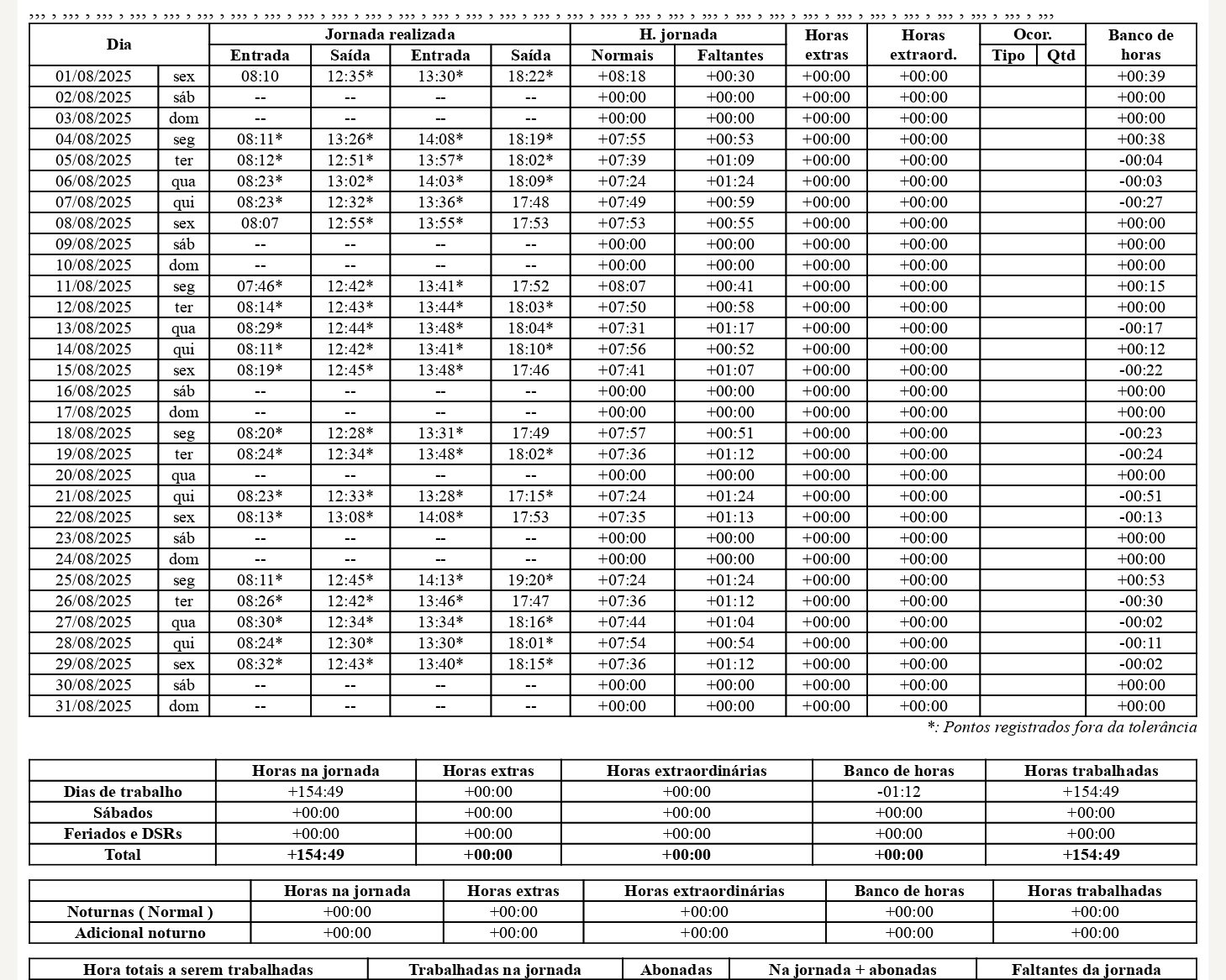
Aprenda como gerar o fechamento de folha no ePonto Eletrônico em poucos cliques. Veja o passo a passo para consolidar as horas dos colaboradores, enviar espelhos de ponto com assinatura digital e manter seu controle de jornada sempre em dia.



